CONTACT US
南京市鼓楼区中山路227号金轮峰华3楼305-307
咨询热线:400-799-0188
1.代数推理
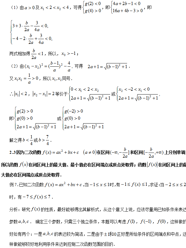
由于二次函数的解析式简捷明了,易于变形(一般式、顶点式、零点式等),所以,在解决二次函数的问题时,常常借助其解析式,通过纯代数推理,进而导出二次函数的有关性质。






最后,祝愿每一位考生都能够得偿所愿,顺利通过考试!(注:复习的时候,书本知识巩固与习题练习相结合,效果会更好!)
教师编制考试以及教师资格证考试相关内容可以关注微信公众号:“苏程学校”。我们会不定时推送最新的相关资讯。
